728x90

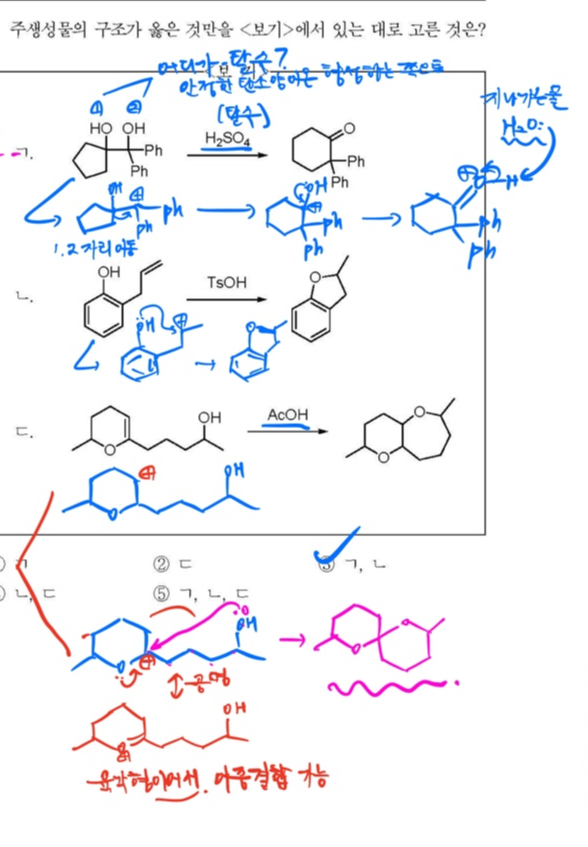
ㄱ. 무슨 반응 이름이 있었는데 까먹..
시약이 황산만 주어지고 반응물에 OH가 있다. 탈수를 생각해야한다.
OH가 두개이다. 두개중 하나를 선택해야하는데 더 안정한 탄소양이온을 형성하는 쪽이 더 잘 떨어진다.
둘다 3차 탄소양이온이지만 오른쪽은 벤젠이 두개나 있어서 공명 안정화가 어마무시하다.. 오른쪽 선택
오른쪽에 탄소양이온이 형성되면 1,2 자리이동에 의해서 6각형이 형성되어 스트레인도 완화된다.
산소 바로 옆에 탄소양이온이 생성될 경우 카보닐이 생성되면서 마무리된다.
ㄴ. 강산와 OH 탈수를 생각하고 싶지만, 예외케이스,,
벤젠에 붙어있을 경우 안 떨어진다. 다른 특수한 조건 필요 (피트시험 범위 밖..)
마르코니코프 규칙에 따라 탄소양이온이 안정한 형태, 수소는 수소가 많은 쪽으로 들어간다.
탄소양이온과 OH가 만나서 오각형을 이루게 된다.
ㄷ. 이 문제도 탄소양이온이 어디에 생성되느냐의 문제이다.
산소 옆에 생성되면 산소의 비공유전자쌍으로 인에 공명 안정화를 이룰 수 있게 되고 이는 탄소양이온을 매우 안정시키게 된다. 이후 OH가 탄소양이온 공격하면서 반응 진행한다!
'유기 기출 풀이' 카테고리의 다른 글
| 2013년 PEET 유기화학 18번 (0) | 2021.07.14 |
|---|---|
| 2012년 PEET 유기화학 13번 (0) | 2021.07.10 |
| 2012년 PEET 유기화학 10번 (0) | 2021.07.10 |
| 2012년 PEET 유기화학 9번 (0) | 2021.07.10 |
| 2012년 PEET 유기화학 8번 (0) | 2021.07.10 |